logit = log + odds
odds 란?
실패 비율 대비 성공 비율
확률 p에 대한 odds는 다음과 같이 정의된다.

logit
확률 p의 로짓 y은 다음과 같이 정의된다.

즉, odds에 자연로그를 씌운 것.
logit은 log + odds에서 나온 말이다.
odds는 그 값이 1보다 큰지가 결정의 기준이고, logit은 0보다 큰지가 결정의 기준이다.
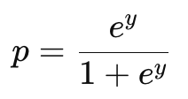
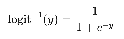
logit의 역함수는:

아래 위로 을 곱해주면 아래와 같이 시그모이드(sigmoid) 함수로 나온다:

확률의 범위는 이므로, logit의 범위는 이다.
아래 그림은 확률과 logit의 비선형 관계를 보여준다:

딥러닝에서 logit
범위인 확률을 범위로 넓히는 로짓의 특성때문에, 딥러닝에서는 확률화되지 않은 날 예측 결과를 logit이라고 부른다.
멀티 클래스 분류 문제에서 보통 softmax 함수의 입력으로 사용된다.
'🤖AI > 딥러닝' 카테고리의 다른 글
| Regression task의 Loss: L1, L2, Huber, Log Cosh Loss (0) | 2024.06.26 |
|---|---|
| (04강) Semantic Segmentation (0) | 2021.09.07 |
| Quickdraw dataset (0) | 2021.09.07 |
| [딥러닝] RNN (0) | 2021.05.25 |
| [딥러닝] CNN (Convolution Neural Network) (0) | 2021.05.15 |